next up previous
: 4. 参考文献 : 2 次元非静力学モデルの離散化 : 2. 空間方向の離散化


3. 時間方向の離散化

3.1 運動方程式と圧力方程式

空間離散化された運動方程式(2.28), (2.29)と圧力方程式 (2.30)を時間方向に離散化する. 音波に関連する項は短いタイムステップ $\Delta \tau$ で離散化し, その他 の項は長いタイムステップ $\Delta t$ で離散化する. 音波に関連する項の離 散化には HE-VI 法を採用し, $u$ の式は前進差分, $w, \pi$ の式は後退差分 (クランク・ニコルソン法)で離散化する. その他の項の離散化にはリープフロッ グ法を用いる. 離散化した式の計算はまず $u$ の式から行う. 得られた $\tau +\Delta \tau$$u$ を用いて $\pi$ を計算し, $u, \pi$ を用いて $w$ を計算する.

運動方程式の各項のうち, 音波に関係しない項を $F_u, F_w$ として まとめると, 運動方程式と圧力方程式は以下のように書ける.

    $\displaystyle \DP{u_{i(u),k}}{t} = - \left[\bar{c_{p}} \bar{\theta}_{v}
\DP{(\pi - \alpha Div )}{x}\right]_{i(u),k}
+ [F_{u}]_{i(u),k}^{t},$ (3.1)
    $\displaystyle \DP{w_{i,k(w)}}{t} = - \left[\bar{c_{p}} \bar{\theta}_{v}
\DP{(\pi - \alpha Div )}{z}\right]_{i,k(w)}
+ [F_{w}]_{i,k(w)}^{t},$ (3.2)
    $\displaystyle \DP{\pi_{i,k}}{t}
+ \left[\frac{\bar{c}^{2}}{\bar{c_{p}} \bar{\rh...
... \left[\frac{\bar{c}^{2}}{\bar{c_{p}} \bar{\theta}_{v}} \DP{u}{x}\right]_{i,k}.$ (3.3)

ただし $u, w$ の式には音波減衰項 $\alpha Div$ を加えてある (Skamarock and Klemp, 1992). 音波に関連しない項 $F_{u}, F_{w}$ は,
    $\displaystyle [F_{u}]_{i(u),k}^{t} =
- \left[{\rm Adv}.{u}\right]_{i(u),k}^{t}
...
...ht]_{i(u),k}^{t - \Delta t}
+ \left[{\rm Diff}.u\right]_{i(u),k}^{t - \Delta t}$ (3.4)
    $\displaystyle \left[F_{w}\right]_{i,k(w)}^{t} =
- \left[{\rm Adv}.{w}\right]_{i...
..._{i,k(w)}^{t - \Delta t}.
+ \left[{\rm Diff}.w \right]_{i,k(w)}^{t - \Delta t}.$ (3.5)

であり, 時刻 $t$ で評価することにする. 但し, 中心差分でリープフロッグ法を用いるため, 数値粘性項 Diff を追加してある.

3.1.1 音波に関連する項の時間方向の離散化

3.1.1.1 水平方向の運動方程式の離散化

(3.1)を時間方向に離散化すると以下のようになる.

$\displaystyle u^{\tau + \Delta \tau}_{i(u),k}
= u^{\tau}_{i(u), k}
- \left[
\ba...
...\alpha Div)^{\tau}}{x}
\right\}
\right]_{i(u),k}
+
F_{u,i(u),k}^{t} \Delta \tau$     (3.6)

3.1.1.2 鉛直方向の運動方程式と圧力方程式の離散化

HE-VI 法を用いるので, $w$$\pi$ の式を連立して解く. $w$ の式におい て音波減衰項は前進差分, 圧力項は後退差分で離散化する. $\pi$ の式にお いて水平微分項は(3.6)で求めた $u^{\tau +\Delta \tau}$ を用いて離散化し, 鉛直微分項は後退差分で離散化する.

$\displaystyle w^{\tau + \Delta \tau}
= w^{\tau}
- \bar{c_{p}} \bar{\theta}_{v} ...
...{\pi^{\tau}}{z}
- \DP{(\alpha Div)^{\tau}}{z}
\right\}
+ F_{w}^{t} \Delta \tau.$     (3.7)


$\displaystyle \pi^{\tau + \Delta \tau}
+ \beta \frac{\bar{c}^{2}\Delta \tau}{\b...
...^{2} \Delta \tau}{\bar{c_{p}} \bar{\theta}_{v}} \DP{u^{\tau + \Delta \tau}}{x}.$      

ここでは簡単のため格子点位置を表す添字は省略した. (3.8) 式に (3.7) を代入して $w^{\tau +
\Delta \tau}$ を消去する.
$\displaystyle \pi^{\tau + \Delta \tau}$ $\textstyle -$ $\displaystyle \beta^{2}
\frac{\bar{c}^{2}{\Delta \tau}^{2}}{\bar{c_{p}} \bar{\r...
...\theta}_{v}^{2}\right)
\left(
\DP{\pi^{\tau + \Delta \tau}}{z}
\right)
\right\}$  
  $\textstyle =$ $\displaystyle \pi^{\tau}
-(1 - \beta)
\frac{\bar{c}^{2}\Delta \tau}{\bar{c_{p}}...
...}^{2} \Delta \tau}{\bar{c_{p}} \bar{\theta}_{v}}
\DP{u^{\tau + \Delta \tau}}{x}$  
    $\displaystyle - \beta \frac{\bar{c}^{2}\Delta \tau}{\bar{c_{p}} \bar{\rho} \bar...
... \DP{(\alpha Div)^{\tau}}{z}
\right\}
+ F_{w}^{t} \Delta \tau
\right\}
\right].$  

(3.9) 式右辺を空間方向に離散化し, 格子点位置を表す添字を付けて表すと以下のようになる (計算の詳細は 第A章 参照).
    $\displaystyle \left\{
- \beta^{2}
\left(
\frac{\bar{c}^{2}{\Delta \tau}^{2}}{\b...
...} \bar{\theta}_{v}^{2}
\right)_{k(w)}
\right\}
\pi^{\tau + \Delta \tau}_{i,k+1}$  
    $\displaystyle \hspace{10mm}+ \left[
1 + \beta^{2}
\left(
\frac{\bar{c}^{2}{\Del...
...theta}_{v}^{2}
\right)_{k-1(w)}
\right\}
\right]
\pi^{\tau + \Delta \tau}_{i,k}$  
    $\displaystyle \hspace{10mm}+ \left\{
- \beta^{2}
\left(
\frac{\bar{c}^{2}{\Delt...
...\bar{\theta}_{v}^{2}
\right)_{k-1(w)}
\right\}
\pi^{\tau + \Delta \tau}_{i,k-1}$  
    $\displaystyle =
\pi^{\tau}_{i,k}
- (1 - \beta)
\left(
\frac{\bar{c}^{2}\Delta \...
...ar{\theta}_{v}}
\right)_{k}
\left(
\DP{u^{\tau + \Delta \tau}}{x}
\right)_{i,k}$  
    $\displaystyle \hspace{2mm} - \beta
\left(
\frac{\bar{c}^{2}\Delta \tau}{\bar{c_...
...ho} \bar{\theta}_{v} \right)_{i,k(w)}
\left\{
w^{\tau}_{i,k(w)}
\right. \right.$  
    $\displaystyle \hspace{10mm}
\left. \left.
- \left( \bar{c_{p}} \bar{\theta}_{v}...
...i,k(w)}
+ \left( F_{w}^{t} \right)_{i,k(w)} \Delta \tau
\right\}
\right]_{i,k}.$  

但し平均場の量は鉛直方向にしか依存しないので $z$ 方向の添字のみ 付けてある.

3.1.1.3 境界条件

上下境界を固定壁とする場合, 境界条件は上部下部境界で,

    $\displaystyle w(i,0(w)) = 0,$ (3.8)
    $\displaystyle w(i,km(w)) = 0$ (3.9)

である.

下部境界:

下部境界($k(w) = 0(w)$)について考える. この時 (3.7) 式に 添字を付けて書き下すと,

$\displaystyle \beta \left(
\DP{\pi^{\tau + \Delta \tau}}{z}
\right)_{i,0(w)}$ $\textstyle =$ $\displaystyle \left( \DP{(\alpha Div)^{\tau}}{z} \right)_{i,0(w)}
- (1 - \beta)...
..._{i,0(w)}
+ \left(\Dinv{\bar{c_{p}} \bar{\theta}_{v}} F_{w}^{t}\right)_{i,0(w)}$  
  $\textstyle \equiv$ $\displaystyle E_{i,0(w)}$ (3.10)

となる. したがって (3.10) 式は以下のようになる.
    $\displaystyle \left\{
- \beta^{2}
\left(
\frac{\bar{c}^{2}{\Delta \tau}^{2}}{\b...
...ho} \bar{\theta}_{v}^{2}
\right)_{1(w)}
\right\} \pi^{\tau + \Delta \tau}_{i,1}$  
  $\textstyle =$ $\displaystyle \pi^{\tau}_{i,1}
-(1 - \beta)
\left(
\frac{\bar{c}^{2}\Delta \tau...
...ar{\theta}_{v}}
\right)_{1}
\left(
\DP{u^{\tau + \Delta \tau}}{x}
\right)_{i,1}$  
    $\displaystyle - \beta
\left(
\frac{\bar{c}^{2}\Delta \tau}{\bar{c_{p}} \bar{\rh...
...(\alpha Div)^{\tau}}{z}
\right\}
+ F_{w}^{t} \Delta \tau
\right\}
\right]_{i,1}$  
    $\displaystyle - \beta
\left(
\frac{\bar{c}^{2}{\Delta \tau}^{2}}{\bar{c_{p}} \b...
...\left(
\bar{c_{p}} \bar{\rho} \bar{\theta}_{v}^{2}
\right)_{i,0(w)}
E_{i,0(w)}.$ (3.11)

上部境界:

上部境界($k(w) = km(w)$)について考える. この時 (3.7) 式 を添字を付けて書き下すと,

$\displaystyle \beta \left(
\DP{\pi^{\tau + \Delta \tau}}{z}
\right)_{i,km(w)}$ $\textstyle =$ $\displaystyle \left( \DP{(\alpha Div)^{\tau}}{z} \right)_{i,km(w)}
- (1 - \beta...
...i,km(w)}
+ \left(\Dinv{\bar{c_{p}} \bar{\theta}_{v}} F_{w}^{t}\right)_{i,km(w)}$  
  $\textstyle \equiv$ $\displaystyle E_{i,km(w)}$ (3.12)

となる. したがって (3.10) 式は以下のようになる.
    $\displaystyle \left\{
1 +
\beta^{2}
\left(
\frac{\bar{c}^{2}{\Delta \tau}^{2}}{...
...\bar{\theta}_{v}^{2}
\right)_{km-1(w)}
\right\}
\pi^{\tau + \Delta \tau}_{i,km}$  
    $\displaystyle + \left\{
- \beta^{2}
\left(
\frac{\bar{c}^{2}{\Delta \tau}^{2}}{...
...ar{\theta}_{v}^{2}
\right)_{km-1(w)}
\right\}
\pi^{\tau + \Delta \tau}_{i,km-1}$  
  $\textstyle =$ $\displaystyle \pi^{\tau}_{i,km}
-(1 - \beta)
\left(
\frac{\bar{c}^{2}\Delta \ta...
...{\theta}_{v}}
\right)_{km}
\left(
\DP{u^{\tau + \Delta \tau}}{x}
\right)_{i,km}$  
    $\displaystyle - \beta
\left(
\frac{\bar{c}^{2}\Delta \tau}{\bar{c_{p}} \bar{\rh...
...\alpha Div)^{\tau}}{z}
\right\}
+ F_{w}^{t} \Delta \tau
\right\}
\right]_{i,km}$  
    $\displaystyle + \frac{\beta}{\Delta z}
\left(
\frac{\bar{c}^{2}{\Delta \tau}^{2...
...\left(
\bar{c_{p}} \bar{\rho} \bar{\theta}_{v}^{2}
\right)_{km(w)}
E_{i,km(w)}.$ (3.13)

3.1.1.4 圧力方程式の時間積分方法

(3.10), (3.14), (3.16) 式を連立すると, 以下のような行列式の形式で書く ことができる.

$\displaystyle \left(\begin{array}{cccc}
A_{1} & B_{2} & & 0 \\
C_{1} & \ddots ...
...m} & \cdots & \cdots & \pi_{im, km} \\
\end{array}\right)^{\tau + \Delta \tau}$      
$\displaystyle =
\left(\begin{array}{cccc}
D_{1,1} & D_{2,1} & \cdots & D_{im,1}...
...dots \\
D_{1,km} & \cdots & \cdots & D_{im,km} \\
\end{array}\right)^{\tau}
.$     (3.14)

この連立方程式を解くことで $\pi_{i, k}$ を求める. この連立方程式の係数は以下の ように書ける.
$\displaystyle A_{k}$ $\textstyle =$ $\displaystyle 1 + \beta^{2}
\left(
\frac{\bar{c}^{2}{\Delta \tau}^{2}}{\bar{c_{...
...
+
\left(
\bar{c_{p}} \bar{\rho} \bar{\theta}_{v}^{2}
\right)_{k-1(w)}
\right\}$  
    $\displaystyle (k = 2, 3, \cdots km-1),$  
$\displaystyle A_{1}$ $\textstyle =$ $\displaystyle 1 + \beta^{2}
\left(
\frac{\bar{c}^{2}{\Delta \tau}^{2}}{\bar{c_{...
...Delta z^{2}}
\left(
\bar{c_{p}} \bar{\rho} \bar{\theta}_{v}^{2}
\right)_{1(w)},$  
$\displaystyle A_{km}$ $\textstyle =$ $\displaystyle 1 + \beta^{2}
\left(
\frac{\bar{c}^{2}{\Delta \tau}^{2}}{\bar{c_{...
...ta z^{2}}
\left(
\bar{c_{p}} \bar{\rho} \bar{\theta}_{v}^{2}
\right)_{km-1(w)},$  
$\displaystyle B_{k}$ $\textstyle =$ $\displaystyle - \beta^{2}
\left(
\frac{\bar{c}^{2}{\Delta \tau}^{2}}{\bar{c_{p}...
...lta z^{2}}
\left(
\bar{c_{p}} \bar{\rho} \bar{\theta}_{v}^{2}
\right)_{k-1(w)},$  
    $\displaystyle (k = 2, 3, \cdots km),$  
$\displaystyle C_{k}$ $\textstyle =$ $\displaystyle - \beta^{2}
\left(
\frac{\bar{c}^{2}{\Delta \tau}^{2}}{\bar{c_{p}...
...Delta z^{2}}
\left(
\bar{c_{p}} \bar{\rho} \bar{\theta}_{v}^{2}
\right)_{k(w)},$  
    $\displaystyle (k = 1, 2, \cdots km-1),$  
$\displaystyle D_{i,k}$ $\textstyle =$ $\displaystyle \pi^{\tau}_{i,k}
-(1 - \beta)
\left(
\frac{\bar{c}^{2}\Delta \tau...
..._{v}}
\right)_{k}
\left(
\DP{u^{\tau + \Delta \tau}}{x}
\right)_{i,k}
+ F_{i,k}$  
    $\displaystyle (k = 2, 3, \cdots km-1),$  
$\displaystyle D_{i,1}$ $\textstyle =$ $\displaystyle \pi^{\tau}_{i,1}
-(1 - \beta)
\left(
\frac{\bar{c}^{2}\Delta \tau...
..._{v}}
\right)_{1}
\left(
\DP{u^{\tau + \Delta \tau}}{x}
\right)_{i,1}
+ F_{i,1}$  
    $\displaystyle - \beta
\left(
\frac{\bar{c}^{2}{\Delta \tau}^{2}}{\bar{c_{p}} \b...
...\left(
\bar{c_{p}} \bar{\rho} \bar{\theta}_{v}^{2}
\right)_{i,0(w)}
E_{i,0(w)},$  
$\displaystyle D_{i,km}$ $\textstyle =$ $\displaystyle \pi^{\tau}_{i,km}
-(1 - \beta)
\left(
\frac{\bar{c}^{2}\Delta \ta...
...}}
\right)_{km}
\left(
\DP{u^{\tau + \Delta \tau}}{x}
\right)_{i,km}
+ F_{i,km}$  
    $\displaystyle + \beta
\left(
\frac{\bar{c}^{2}{\Delta \tau}^{2}}{\bar{c_{p}} \b...
...\left(
\bar{c_{p}} \bar{\rho} \bar{\theta}_{v}^{2}
\right)_{km(w)}
E_{i,km(w)}.$  

ただし,
$\displaystyle E_{i,k(w)} \equiv
\left( \DP{(\alpha Div)^{\tau}}{z} \right)_{i,k...
..._{i,k(w)}
+ \left(\Dinv{\bar{c_{p}} \bar{\theta}_{v}} F_{w}^{t}\right)_{i,k(w)}$      


$\displaystyle F_{i,k}$ $\textstyle \equiv$ $\displaystyle \hspace{2mm} - \beta
\left(
\frac{\bar{c}^{2}\Delta \tau}{\bar{c_...
...ho} \bar{\theta}_{v} \right)_{i,k(w)}
\left\{
w^{\tau}_{i,k(w)}
\right. \right.$  
    $\displaystyle \hspace{10mm}
\left. \left.
- \left( \bar{c_{p}} \bar{\theta}_{v}...
...i,k(w)}
+ \left( F_{w}^{t} \right)_{i,k(w)} \Delta \tau
\right\}
\right]_{i,k}.$  

である.

3.1.2 音波に関連しない項の時間方向の離散化

運動方程式の音波に関連しない項 (3.1), (3.2) 式を 離散化する.

    $\displaystyle F_{u,i(u),k}^{t} =
- \left[ {\rm Adv}.u \right]_{i(u),k}^{t}
+ \l...
...ight]_{i(u),k}^{t-\Delta t}
+ \left[{\rm Diff}.u \right]_{i(u),k}^{t-\Delta t},$ (3.15)
    $\displaystyle F_{w,i,k(w)} =
- \left[ {\rm Adv}.w \right]_{i(u),k}^{t}
+ \left[...
..._{i,k(w)}^{t - \Delta t}
+ \left[ {\rm Diff}.w \right]_{i,k(w)}^{t - \Delta t}.$ (3.16)

ここで, Adv は移流項, D は粘性拡散項, Buoy は浮力項, Diff は数値粘性項である. それぞれの項を書き下すと,
$\displaystyle \left[ {\rm Adv}.{u} \right]_{i(u),k}^{t}$ $\textstyle =$ $\displaystyle u_{i(u),k}^{t} \left[\DP{u}{x}\right]_{i(u),k}^{t}
+ w_{i(u),k}^{t} \left[\DP{u}{z}\right]_{i(u),k}^{t}$ (3.17)
$\displaystyle \left[ {\rm Adv}.{w} \right]_{i,k(w)}^{t}$ $\textstyle =$ $\displaystyle u_{i,k(w)}\left[\DP{w}{x}\right]_{i,k(w)}^{t}
+ w_{i,k(w)}\left[\DP{w}{z}\right]_{i,k(w)}^{t}$ (3.18)

であり, 浮力項は,
$\displaystyle [{\rm Buoy}]^{t}_{i,k(w)}$ $\textstyle =$ $\displaystyle g \frac{\theta_{i,k(w)}^{t}}{\overline{\theta}_{i,k(w)}}$  
    $\displaystyle + g \frac{\sum [q_{v}]_{i,k(w)}^{t}/M_{v}}{1/M_{d}
+ \sum [\bar{q_{v}}]_{i,k(w)}/M_{v}}$  
    $\displaystyle - g \frac{\sum [q_{v}]_{i,k(w)}^{t}
+ \sum [q_{c}]_{i,k(w)}^{t} + \sum [q_{r}]_{i,k(w)}^{t}}
{1 + \sum [\bar{q_{v}}]_{i,k(w)}}$ (3.19)

であり, 粘性拡散項は,
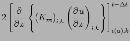
$\displaystyle \left[ {\rm Turb}.{u} \right]_{i(u),k}^{t - \Delta t}$ $\textstyle =$ $\displaystyle 2 \left[
\DP{}{x}\left\{
\left( K_{m} \right)_{i,k} \left( \DP{u}{x} \right)_{i,k}
\right\}
\right]_{i(u),k}^{t - \Delta t}$  
    $\displaystyle +\left[ \DP{}{z}\left\{
\left( K_{m} \right)_{i(u),k(w)}
\left( \...
...}
\left( \DP{u}{z} \right)_{i(u),k(w)}
\right\} \right]_{i(u),k}^{t - \Delta t}$  
    $\displaystyle - \frac{2}{3 C_{m}^{2} l^{2}}
\left( \DP{ K_{m}^{2} }{x} \right)_{i(u),k}^{t - \Delta t}$ (3.20)
$\displaystyle \left[ {\rm Turb}.{w} \right]_{i,k(w)}^{t - \Delta t}$ $\textstyle =$ $\displaystyle 2 \left[
\DP{}{z}\left\{
\left( K_{m} \right)_{i,k} \left( \DP{w}{z} \right)_{i,k}
\right\}
\right]_{i,k(w)}^{t - \Delta t}$  
    $\displaystyle +\left[ \DP{}{x}\left\{
\left( K_{m} \right)_{i(u),k(w)}
\left( \...
...}
\left( \DP{u}{z} \right)_{i(u),k(w)}
\right\} \right]_{i,k(w)}^{t - \Delta t}$  
    $\displaystyle - \frac{2}{3 C_{m}^{2} l^{2}}
\left( \DP{ K_{m}^{2} }{z} \right)_{i,k(w)}^{t - \Delta t}$ (3.21)

である. 数値粘性項は,
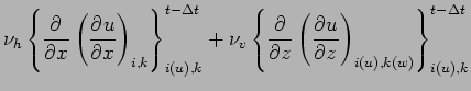
$\displaystyle \left[ {\rm Diff}.u \right]_{i(u),k}^{t - \Delta t}$ $\textstyle =$ $\displaystyle \nu_{h} \left\{ \DP{}{x} \left(\DP{u}{x}\right)_{i,k} \right\}_{i...
...\{ \DP{}{z} \left(\DP{u}{z}\right)_{i(u),k(w)} \right\}_{i(u),k}^{t - \Delta t}$ (3.22)
$\displaystyle \left[ {\rm Diff}.w \right]_{i,k(w)}^{t - \Delta t}$ $\textstyle =$ $\displaystyle \nu_{h} \left\{ \DP{}{x} \left(\DP{w}{x}\right)_{i(u),k(w)} \righ...
... \left\{ \DP{}{z} \left(\DP{w}{z}\right)_{i,k} \right\}_{i,k(w)}^{t - \Delta t}$ (3.23)

である. $K_{m}$ は乱流エネルギーの時間発展方程式から計算し(詳細は後述), $\nu_{h}, \nu_{v}$ は以下のように定める.
$\displaystyle \nu_{h} = \frac{\alpha_{h} \Delta x^{2}}{\Delta t}$     (3.24)
$\displaystyle \nu_{v} = \frac{\alpha_{v} \Delta z^{2}}{\Delta t}$     (3.25)

ここで $\Delta x, \Delta z$ は水平・鉛直方向の格子間隔を意味し, $\alpha_{h}, \alpha_{v}$ はそれぞれ,
$\displaystyle \alpha_{h} \le \Dinv{8}, \hspace{3em}
\alpha_{v} \le \Dinv{8}$     (3.26)

とする.

3.2 熱力学の式と混合比の保存式の離散化

熱の式と混合比の保存式の右辺をまとめて $F$ で表し, 時間方向にリープフロッグ法を用いて離散化する.

$\displaystyle \theta_{i,k}^{t + \Delta t}$ $\textstyle =$ $\displaystyle \theta_{i,k}^{t - \Delta t} + 2 \Delta t [F_{\theta}]_{i,k}^{t}$ (3.27)
$\displaystyle \left[ q_{v} \right]_{i,k}^{t+\Delta t}$ $\textstyle =$ $\displaystyle \left[ q_{v} \right]_{i,k}^{t-\Delta t}
+ 2 \Delta t [F_{q_{v}}]_{i,k}^{t}$ (3.28)
$\displaystyle \left[ q_{c} \right]_{i,k}^{t+\Delta t}$ $\textstyle =$ $\displaystyle \left[ q_{c} \right]_{i,k}^{t-\Delta t}
+ 2 \Delta t [F_{q_{c}}]_{i,k}^{t}$ (3.29)
$\displaystyle \left[ q_{r} \right]_{i,k}^{t+\Delta t}$ $\textstyle =$ $\displaystyle \left[ q_{r} \right]_{i,k}^{t-\Delta t}
+ 2 \Delta t [F_{q_{r}}]_{i,k}^{t}$ (3.30)

ここで,
$\displaystyle [F_{\theta}]_{i,k}$ $\textstyle =$ $\displaystyle - \left[{\rm Adv}.{\theta}\right]_{i,k}^{t}
- \left[{\rm Adv}.{\b...
...]_{i,k}^{t - \Delta t}
+ \left[{\rm Diff}.{\theta} \right]_{i,k}^{t - \Delta t}$  
    $\displaystyle + [Q_{cnd}]_{i,k}^{t}
+ [Q_{rad}]_{i,k}^{t-\Delta t}
+ [Q_{dis}]_{i,k}^{t-\Delta t}$ (3.31)
$\displaystyle \left[F_{q_{v}}\right]_{i,k}^{t}$ $\textstyle =$ $\displaystyle - \left[ {\rm Adv}.q_{v} \right]_{i,k}^{t}
- \left[ {\rm Adv}.\ba...
...,k}^{t - \Delta t}
+ \left[ {\rm Turb}.\bar{q_{v}} \right]_{i,k}^{t - \Delta t}$  
    $\displaystyle + \left[ {\rm Diff}.q_{v} \right]_{i,k}^{t - \Delta t}
+ \left[ EV_{rv} \right]_{i,k}^{t}$ (3.32)
$\displaystyle \left[F_{q_{c}}\right]_{i,k}^{t}$ $\textstyle =$ $\displaystyle - \left[ {\rm Adv}.q_{c} \right]_{i,k}^{t}
+ \left[ {\rm Turb}.q_{c} \right]^{t-\Delta t}
+ \left[ {\rm Diff}.q_{c} \right]^{t-\Delta t}$  
    $\displaystyle - \left[ CN_{cr} + CL_{cr} \right]_{i,k}^{t}$ (3.33)
$\displaystyle \left[F_{q_{r}}\right]_{i,k}^{t}$ $\textstyle =$ $\displaystyle - \left[ {\rm Adv}.q_{r} \right]_{i,k}^{t}
+ \left[ {\rm Turb}.q_{r} \right]_{i,k}^{t-\Delta t}
+ \left[ {\rm Diff}.q_{c} \right]^{t-\Delta t}$  
    $\displaystyle + \left[CN_{cr} + CL_{cr} - EV_{rv} \right]_{i,k}^{t}
+ \left[ PR_{r} \right]_{i,k}^{t}$ (3.34)

である. 移流を中心差分で安定して解くために, 数値粘性項 Diff を追加してあ る. また, $CN_{vc}, EV_{cv}$ 項は湿潤飽和調節法より決めるため, それらの項を含めない.

$\theta$, $q_{v}$, $q_{c}$, $q_{r}$ をまとめて $\phi$ で表し, それぞれの項を書き下す. 移流項は,

$\displaystyle \left[{\rm Adv}.{\phi}\right]_{i,k}^{t}$ $\textstyle =$ $\displaystyle \left[
u_{i(u),k} \left[ \DP{\phi}{x} \right]_{i(u),k}
\right]_{i,k}^{t}
+
\left[
w_{i,k(w)} \left[ \DP{\phi}{z} \right]_{i,k(w)}
\right]_{i,k}^{t}$ (3.35)

であり, 基本場の移流項は,
$\displaystyle \left[{\rm Adv}.{\bar{\phi}}\right]_{i,k}^{t} =
\left[
w_{i,k(w)} \left[ \DP{\overline{\phi}}{z} \right]_{i,k(w)}
\right]_{i,k}^{t}$     (3.36)

である. 粘性拡散項は CReSS と同様に 1.5 次のクロージャーを用いることで,
$\displaystyle \left[{\rm Turb}.{\phi} \right]_{i,k}^{t - \Delta t}$ $\textstyle =$ $\displaystyle \left[ \DP{}{x}
\left\{
\left( K_{h} \right)_{i(u),k}
\left( \DP{\phi}{x} \right)_{i(u),k}
\right\}
\right]_{i,k}^{t - \Delta t}$  
    $\displaystyle + \left[ \DP{}{z}\left\{
\left( K_{h} \right)_{i,k(w)}
\left( \DP{\phi }{z} \right)_{i,k(w)}
\right\} \right]_{i,k}^{t - \Delta t}$ (3.37)

となり, 基本場の粘性拡散項は,
$\displaystyle \left[{\rm Turb}.{\bar{\phi}} \right]_{i,k}^{t - \Delta t}$ $\textstyle =$ $\displaystyle \left[ \DP{}{z}\left\{
\left( K_{h} \right)_{i,k(w)}
\left( \DP{\overline{\phi}}{z} \right)_{i,k(w)}
\right\} \right]_{i,k}^{t - \Delta t}$ (3.38)

となる. 数値粘性項は,
$\displaystyle \left[ {\rm Diff}_{\phi} \right]_{i,k}^{t - \Delta t}$ $\textstyle =$ $\displaystyle \nu_{h} \left\{ \DP{}{x} \left(\DP{\phi}{x}\right)_{i(u),k} \righ...
...eft\{ \DP{}{z} \left(\DP{\phi}{z}\right)_{i,k(w)} \right\}_{i,k}^{t - \Delta t}$ (3.39)

である. $K_{h}$ は乱流エネルギーの時間発展方程式から計算する(詳細は後述). $\nu_{h}, \nu_{v}$ は (3.29) 式を利用する.

凝縮加熱項 $Q_{cnd}$

\begin{displaymath}[Q_{cnd}]_{i,k}^{t}
= - \left[ \frac{L}{{c_{p} \bar{\pi}}_{...
...{i,k}^{t})
(\bar{\rho}_{i,k} [q_{r}]_{i,k})^{0.65}
\right\}
\end{displaymath} (3.40)

である.

散逸加熱項 $Q_{dis}$

\begin{displaymath}[Q_{dis}]_{i,k}^{t-\Delta t}
= \frac{1}{{c_{p}}_{d} \bar{\p...
...{\pi}}
\frac{(K_{m,i,k}^{t-\Delta t})^{3}}{{C_{m}}^{2} l^{4}}
\end{displaymath} (3.41)

と与える. ここで $l=(\Delta x\Delta z)^{1/2}$ である.

放射強制 $[Q_{rad}]_{i,k}$ は計算設定ごとに与える.

雲水から雨水への変換を表す $CN_{cr}$, $CL_{cr}$ は以下のようになる.

    $\displaystyle [CN_{cr}]_{i,k}^{t} = (q_{c,i,k}^{t} - q_{c0})/\tau _{ac}$ (3.42)
    $\displaystyle \left[ CL_{cr} \right]_{i,k}^{t}
= 2.2 [q_{c}]_{i,k}^{t}
\left(
[\bar{\rho}]_{i,k}
\left[ q_{r} \right]_{i,k}^{t}
\right)^{0.875}$ (3.43)

雨水の蒸発を表す $EV_{rv}$ は以下のようになる.
    $\displaystyle \left[ EV_{rv} \right]_{i,k}^{t} =
4.85 \times 10^{-2} ([q_{vsw}]_{i,k}^{t} - [q_{v}]_{i,k}^{t})
([\bar{\rho}]_{i,k} [q_{r}]_{i,k}^{t})^{0.65}$ (3.44)

降水による雨水フラックスを表す $PR_{r}$ は以下のように書ける.
    $\displaystyle \left[
PR_{r}
\right]_{i,k}^{t}
= \Dinv{[\bar{\rho}]_{i,k}} \DP{}{z}([\bar{\rho}]_{i,k}
[U_{r}]_{i,k}^{t}
[q_{r}]_{i,k}^{t}).$ (3.45)
    $\displaystyle [U_{r}]_{i,k}^{t} = 12.2 ([q_{r}]_{i,k}^{t})^{0.125}$ (3.46)

3.2.1 湿潤飽和調節法

Klemp and Wilhelmson (1983), CReSS ユーザーマニュアル(坪木と榊原, 2001) では, 水蒸気と雲水の間の変換を表す $-CN_{vc} + EV_{cv}$ は, Soong and Ogura (1973) において開発された 湿潤飽和調節法を用いる. この方法は $dS=0$ の断熱線と, $\mu_{vapar} = \mu_{condensed phase}$ の 平衡条件($\mu$ は化学ポテンシャル)の交わる温度・圧力・組成を 反復的に求める数値解法である. 以下ではそのやり方を解説する.

3.2.1.1 飽和蒸気圧を用いる場合

湿潤飽和調節法を用いる場合, まず始めに (3.30) - (3.37) 式から求まる量に $*$ を添付し, $[\theta]^{*}$, $[q_{v}]^{*}$, $[q_{c}]^{*}$, $[q_{r}]^{*}$ とする. 水に対する過飽和混合比

$\displaystyle \Delta q_{c} = MAX\{0, [q_{v}]^{*} - q_{vsw}([\theta]^{*})\}$     (3.47)

$\Delta q_{c} > 0$, もしくは雲粒混合比が $q_{c}^{*} > 0$ なら ば, 次式を用いて暫定的に $\theta$, $q_{v}$, $q_{c}$ を求める.
$\displaystyle \left[ \theta \right]^{t + \Delta t}$ $\textstyle =$ $\displaystyle \theta^{*} +
\frac
{ \gamma ( [q_{v}]^{*} - q_{vsw}([\theta]^{*})) }
{ 1 + \gamma \DP{q_{vsw}([\theta]^{*})}{\theta} }$ (3.48)
$\displaystyle \left[ q_{v} \right]^{t + \Delta t}$ $\textstyle =$ $\displaystyle [q_{v}]^{*} + \frac{[\theta]^{*} - [\theta]^{t + \Delta t}}{\gamma},$ (3.49)
$\displaystyle \left[ q_{c} \right]^{t + \Delta t}$ $\textstyle =$ $\displaystyle [q_{v}]^{*} + [q_{c}]^{*} - [q_{v}]^{t + \Delta t} .$ (3.50)

ただし, $\gamma = L_{v}/(c_{p} \Pi)$ である. もしも $[q_c]^{t + \Delta t} > 0$ ならば, 暫定的に得られた値を $*$ 付き のものに置き換え, (3.51) - (3.53) 式 の値が収束するまで繰り返し適用する. 普通, 高々数回繰り返せば収束し, 調整後の値が得られるそうである.

もしも $q_{c}^{t + \Delta t} < 0$ の場合には,

    $\displaystyle \left[ \theta \right]^{t + \Delta t} =
[\theta]^{*} - \gamma [q_{c}]^{*},$ (3.51)
    $\displaystyle \left[ q_{v} \right]^{t + \Delta t},
= [q_{v}]^{*} + [q_{c}]^{*}$ (3.52)
    $\displaystyle \left[ q_{c} \right]^{t + \Delta t}
= 0$ (3.53)

とし, 繰り返しを中止する.

3.2.1.2 圧平衡定数を用いる場合

硫化アンモニウムの生成反応

$\displaystyle {\rm NH_{3}} + {\rm H_{2}S} \rightarrow {\rm NH_{4}SH}$     (3.54)

のような, 2 種類の気体 1 モルづつから凝縮物質 1 モルが 生成されるような生成反応の場合の, 湿潤飽和調節法を考える.

硫化アンモニウムの生成反応の圧平衡定数は,

$\displaystyle K_{p}
\equiv \ln(p_{\rm NH_{3}} \cdot p_{\rm H_{2}S})
= 61.781 - \frac{10834}{T} - \ln{10^{2}}$     (3.55)

である. 圧平衡定数を用いることで, 任意の温度に対する アンモニアと硫化水素のモル比の積を求めることができる.

任意の温度 $T$ における NH$_{4}$SH の生成量を $X$ とすると, 圧平衡定数の式は以下のように書ける.

    $\displaystyle (p_{\rm NH_{3}} - X) ( p_{\rm H_{2}S} - X )
= e^{k_{p}}$  
    $\displaystyle X^{2} - (p_{\rm NH_{3}} + p_{\rm H_{2}S}) X
+ p_{\rm NH_{3}} \cdot p_{\rm H_{2}S}
- e^{k_{p}} = 0$ (3.56)

解の公式を使うと, 生成量 X は以下となる.
    $\displaystyle X = \Dinv{2}
\left\{
(p_{\rm NH_{3}} + p_{\rm H_{2}S})
\pm \sqrt{...
...m H_{2}S})^{2}
- 4 (p_{\rm NH_{3}} \cdot p_{\rm H_{2}S} - e^{K_{p}}) }
\right\}$  
    $\displaystyle X = \Dinv{2}
\left\{
(p_{\rm NH_{3}} + p_{\rm H_{2}S})
\pm \sqrt{ (p_{\rm NH_{3}} - p_{\rm H_{2}S})^{2}
+ 4 e^{K_{p}} }
\right\}$ (3.57)

根号の符号は $\exp{(K_{p})} \approx 0$ の場合にとりうる $X$ の値を 仮定することで決める. $\exp{(K_{p})} \approx 0$ の場合, 明らかに
$\displaystyle X = {\rm min}(P_{\rm NH_3}, P_{\rm H_{2}S} )$     (3.58)

である. ここで木星大気を想定し, $P_{\rm NH_3} > P_{\rm H_{2}S}$ であることを仮定すると $X = P_{\rm H_{2}S}$ である. そこで (3.60)の根号の符号は $\exp{(K_{p})} \approx 0$ のとき $X = P_{\rm H_{2}S}$ となるよう, 負を選択する.
$\displaystyle X = \Dinv{2}
\left\{
(p_{\rm NH_{3}} + p_{\rm H_{2}S})
- \sqrt{ (p_{\rm NH_{3}} - p_{\rm H_{2}S})^{2}
+ 4 e^{K_{p}} }.
\right\}$     (3.59)

$X$ の満たすべき条件は,
$\displaystyle 0 \leq X \leq {\rm min}(P_{\rm NH_{3}}, P_{\rm H_{2}S})$     (3.60)

である. 上記の条件を満たさない場合には $X = 0$ とする.

$X$ が (3.63) 式の条件を満たすならば, 次式を用いて暫定的に $\theta$, $q_{v}$, $q_{c}$ を求める.

    $\displaystyle \left[ q_{\rm NH_3} \right]^{t + \Delta t}
= [q_{\rm NH_3}]^{*} + \Delta q_{\rm NH_3},$ (3.61)
    $\displaystyle \left[ q_{\rm H_2S} \right]^{t + \Delta t}
= [q_{\rm H_2S}]^{*} + \Delta q_{\rm H_2S},$ (3.62)
    $\displaystyle \left[ q_{\rm NH_4SH} \right]^{t + \Delta t}
= [q_{\rm NH_3}]^{*}...
...rm H_2S}]^{*}
- [q_{\rm NH_3}]^{t + \Delta t} - [q_{\rm H_2S}]^{t + \Delta t} ,$ (3.63)
    $\displaystyle \left[ \theta \right]^{t + \Delta t}
=
\theta^{*} + \gamma \left(...
...}]^{*}
- [q_{\rm NH_3}]^{t + \Delta t} - [q_{\rm H_2S}]^{t + \Delta t}
\right).$ (3.64)

ただし, $\gamma = L_{\rm NH_4SH}/({c_{p}}_{d} \Pi)$ であり, $\Delta q_{\rm NH_3}$ $\Delta q_{\rm H_2S}$ はそれぞれ, 生成量 $X$ に対応する NH$_3$ と H$_2$S の混合比である. 温位が収束するまで反復改良を行う.

3.3 乱流運動エネルギーの式

Klemp and Wilhelmson (1978) および CReSS (坪木と榊原篤志, 2001) と同様 に, 1.5 次のクロージャーを用いる. 乱流エネルギーの時間発展方程式 をリープフロッグ法を用いて時間方向に離散化すると, 以下のようになる.

$\displaystyle [K_{m}]_{i,k}^{t + \Delta t} = [K_{m}]_{i,k}^{t - \Delta t}
+ 2 \Delta t [F_{K_m}]_{i,k}^{t}$     (3.65)

ここで,
$\displaystyle [F_{K_m}]_{i,k}^{t}$ $\textstyle =$ $\displaystyle - [{\rm Adv}.K_m]_{i,k}^{t}
+ [{\rm Buoy}.K_m]_{i,k}^{t - \Delta t}
+ [{\rm Shear}.K_m]_{i,k}^{t - \Delta t}$  
    $\displaystyle + [{\rm Turb}.K_m]_{i,k}^{t - \Delta t}
+ [{\rm Disp}.K_m]_{i,k}^{t - \Delta t}$ (3.66)

である. CReSS にならい, 移流項を $t$ で, 移流項以外を $t - \Delta t$ で評価した.

$F_{K_m}$ に含まれる各項は以下のように書き下すことができる.

$\displaystyle [{\rm Adv}.K_m]_{i,k}^{t}$ $\textstyle =$ $\displaystyle \left\{
u_{i(u),k} \left( \DP{K_{m}}{x} \right)_{i(u), k}
\right\...
...
+
\left\{
w_{i,k(w)} \left( \DP{K_{m}}{z} \right)_{i, k(w)}
\right\}_{i,k}^{t}$ (3.67)
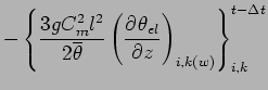
$\displaystyle \left[{\rm Buoy}.K_m\right]_{i,k}^{t - \Delta t}$ $\textstyle =$ $\displaystyle - \left\{
\frac{3 g C_{m}^{2} l^{2}}{ 2 \overline{\theta}}
\left(\DP{\theta_{el}}{z} \right)_{i,k(w)}
\right\}_{i,k}^{t-\Delta t}$ (3.68)
$\displaystyle \left[{\rm Shear}.K_m\right]_{i,k}^{t - \Delta t}$ $\textstyle =$ $\displaystyle \left( C_{m}^{2} l^{2} \right)_{i,k}
\left[
\left( \DP{u}{x} \rig...
... \right)_{i,k}
\left[
\left( \DP{w}{z} \right)^{2}
\right]_{i,k}^{t - \Delta t}$  
    $\displaystyle + \left( \frac{ C_{m}^{2} l^{2} }{2} \right)_{i,k}
\left[
\left\{...
...
\left( \DP{w}{x} \right)_{i(u),k(w)}
\right\}_{i,k}^{t - \Delta t}
\right]^{2}$  
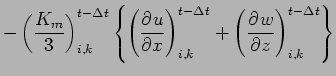
    $\displaystyle - \left( \frac{K_{m}}{3} \right)_{i,k}^{t - \Delta t}
\left\{
\le...
...ight)_{i,k}^{t-\Delta t}
+
\left( \DP{w}{z} \right)_{i,k}^{t-\Delta t}
\right\}$ (3.69)
$\displaystyle \left[{\rm Turb}.K_m\right]_{i,k}^{t - \Delta t}$ $\textstyle =$ $\displaystyle \Dinv{2}
\left[
\left\{
\DP{}{x}
\left(
\DP{K_{m}^{2}}{x}
\right)...
...}
\left(
\DP{K_{m}^{2}}{z}
\right)_{i,k(w)}
\right\}_{i,k}^{t-\Delta t}
\right]$  
    $\displaystyle +
\left[
\left\{
\left( \DP{K_{m}}{x}\right)^{2}
\right\}_{i(u),k...
...{
\left(\DP{K_{m}}{z}\right)^{2}
\right\}_{i,k(w)}
\right]_{i,k}^{t - \Delta t}$ (3.70)
$\displaystyle \left[{\rm Disp}.K_m\right]_{i,k}^{t - \Delta t}$ $\textstyle =$ $\displaystyle - \Dinv{2 l^{2}} \left( K_{m}^{2} \right)_{i,k}^{t - \Delta t}$ (3.71)

ここで $C_{\varepsilon} = C_{m} = 0.2$, 混合距離 $l = \left(\Delta x \Delta z \right)^{1/2}$ とする. また $\theta_{el}$ は以下で与えられる.
$\displaystyle \theta_{el}$ $\textstyle =$ $\displaystyle \overline{ \theta_{v}} + \theta_{v}^{'} \;\;\; (for \;\; q_{c} = 0)$ (3.72)
$\displaystyle \theta_{el}$ $\textstyle =$ $\displaystyle \overline{\theta_{v}} + \theta_{v}^{'} + \frac{ \sum L
q_{v}}{{c_p}_{d} \bar{\pi}}
\;\;\; (for \;\; q_{c} > 0)$ (3.73)

ただし,
$\displaystyle \overline{\theta_{v}} + \theta_{v}^{'}$ $\textstyle =$ $\displaystyle \bar{\theta_{v}}
\left\{
1 + \frac{\theta}{\bar{\theta}}
+ \frac{...
...}
- \frac{\sum q_{v} + \sum q_{c} + \sum q_{r}}
{1 + \sum \bar{q_{v}}}
\right\}$ (3.74)

である.

3.4 時間フィルター

リープフロッグ法を用いたことによって生じる計算モードの増幅を抑制するた め, Asselin (1972) の時間フィルターを長い時間刻みで 1 ステップ計算する 毎に(実際には短い時間刻みの計算を $N_{\tau}\equiv 2\Delta t/\Delta
\tau$ ステップ計算する毎に)適用する.

たとえば(3.6)を用いて $ u^{t + \Delta t}_{i(u),k}$ を計算する場合, 以下のように時間フィルターを適用する.

$\displaystyle u^{*}_{i(u),k}$ $\textstyle =$ $\displaystyle u^{\tau + (N_{\tau}-1)\Delta \tau}_{i(u), k}
- \left[
\bar{c_{p}}...
...\DP{(\alpha Div)^{\tau + (N_{\tau}-1)\Delta \tau}}{x}
\right\}
\right]_{i(u),k}$  
    $\displaystyle +
F_{u,i(u),k}^{t} \Delta \tau,$  
$\displaystyle u^{t+\Delta t}_{i(u),k}$ $\textstyle =$ $\displaystyle (1-2 \gamma)u^{t}_{i(u),k} +
\gamma (u^{*}_{i(u),k} + u^{t -\Delta t}_{i(u),k})$ (3.75)

ここで $\gamma$ はフィルターの係数であり, その値は 0.05 を用い る. (3.7), (3.8)の計算に対しても同様 に時間フィルターを適用する.

3.5 スポンジ層

境界面付近での波の反射を抑えるために, 基礎方程式の付加的な項を付け加える.

$\displaystyle \DP{\phi}{t} = -{\rm Adv}.\phi + \cdots + \gamma_{h}(x) (\phi - \phi_{e})
+ \gamma_{v}(z) (\phi - \phi_{e})$     (3.76)

ただし, $\phi$ は任意の予報変数であり, $\phi_{e}$ は客観解析値等の既知の 値である. この項は1 つ前のタイムステップ $t - \Delta t$ で計算され, 小さいタイムステップで扱われる予報変数に対しても, 移流項や数値粘性項と同様に $2 \Delta t$ の大きなタイムステップ間の値とし て評価される。具体的には,
    $\displaystyle [\pi]^{t + \Delta t} = 2 \Delta t
\left\{
[{\rm Adv}.\pi]^{t}
+ \...
...gamma_{h}(x) + \gamma_{v}(z)
\right\} (\pi - \bar{\pi})^{t - \Delta t}
\right\}$ (3.77)
    $\displaystyle [u]^{t + \Delta t} = 2 \Delta t
\left\{
[{\rm Adv}.u]^{t}
+ \cdots
+ \left\{
\gamma_{h}(x) + \gamma_{v}(z)
\right\} [u]^{t - \Delta t}
\right\}$ (3.78)
    $\displaystyle [w]^{t + \Delta t} = 2 \Delta t
\left\{
[{\rm Adv}.w]^{t}
+ \cdots
+ \left\{
\gamma_{h}(x) + \gamma_{v}(z)
\right\} [w]^{t - \Delta t}
\right\}$ (3.79)
    $\displaystyle [\theta]^{t + \Delta t} = 2 \Delta t
\left\{
[{\rm Adv}.\theta]^{...
...\left\{
\gamma_{h}(x) + \gamma_{v}(z)
\right\} [\theta]^{t - \Delta t}
\right\}$ (3.80)

とする. 但し $\bar{\pi}$ はエクスナー関数の基本場である.

$\gamma_{h}, \gamma_{v}$ はそれぞれ水平方向には各境界面に向かって, 鉛直 方向には上境界面に向かって小さくなる減衰係数である. これらの減衰係数は, 水平方向には吸収層の厚みを $d_{h}$ とし, $x$ の範囲を $0 \leq x \leq
x_{max}$ とすれば,

    $\displaystyle \gamma_{h} = \alpha_{h} \left( 1 - \frac{x}{d_{h}}\right)^{3}
\hspace{5em} (x < d_{h}),$  
    $\displaystyle \gamma_{h} = 0 \hspace{10em} ( d_{h} \leq x \leq x_{max} - d_{h}),$  
    $\displaystyle \gamma_{h} = \alpha_{h} \left( 1 - \frac{(x_{max} - x)}{d_{h}}\right)^{3}
\;\; (x > x_{max} - d_{h}),$ (3.81)

であり, 鉛直方向には吸収層の厚さを $d_{v}$ とし, $z$ の範囲を $0 \leq z \leq z_{max}$ とすれば,
    $\displaystyle \gamma_{v} = 0 \hspace{12em} ( z \leq z_{max} - d_{v}),$  
    $\displaystyle \gamma_{v} = \alpha_{v} \left
( 1 - \cos{\frac{\pi (z - z_{max} - d_{v})}{d_{v}}}
\right)^{3}
\;\; (z > z_{max} - d_{v}),$ (3.82)

である. ここで, $\alpha_h, \alpha_v$ はそれぞれ水平・鉛直方向の減衰定数 である. $\alpha_h, \alpha_v$ は時間の逆数の次元を持ち, それらの逆数 $1/\alpha_{h}, 1/\alpha_{v}$ は e-folding time と呼ばれる. e-folding time は通常 100 - 300 s に設定する. また吸収層の厚み $d_{h}, d_{v}$ はそれぞれ, 水平方向には数格子分, 鉛直方向には上面から1/3 程度設定すれば良い.


next up previous
: 4. 参考文献 : 2 次元非静力学モデルの離散化 : 2. 空間方向の離散化
Odaka Masatsugu 平成19年10月12日