空間離散化された運動方程式(2.28),
(2.29)と圧力方程式
(2.30)を時間方向に離散化する.
音波に関連する項は短いタイムステップ
で離散化し, その他
の項は長いタイムステップ
で離散化する. 音波に関連する項の離
散化には HE-VI 法を採用し,
の式は前進差分,
の式は後退差分
(クランク・ニコルソン法)で離散化する. その他の項の離散化にはリープフロッ
グ法を用いる. 離散化した式の計算はまず
の式から行う. 得られた
の
を用いて
を計算し,
を用いて
を計算する.
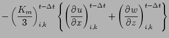
運動方程式の各項のうち, 音波に関係しない項を
として
まとめると, 運動方程式と圧力方程式は以下のように書ける.
(3.1)を時間方向に離散化すると以下のようになる.
HE-VI 法を用いるので,
と
の式を連立して解く.
の式におい
て音波減衰項は前進差分, 圧力項は後退差分で離散化する.
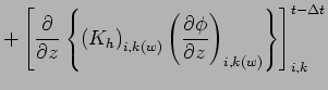
の式にお
いて水平微分項は(3.6)で求めた
を用いて離散化し, 鉛直微分項は後退差分で離散化する.
上下境界を固定壁とする場合, 境界条件は上部下部境界で,
| (3.8) | |||
| (3.9) |
下部境界:
下部境界(
)について考える. この時 (3.7) 式に
添字を付けて書き下すと,
上部境界:
上部境界(
)について考える. この時 (3.7) 式
を添字を付けて書き下すと,
(3.10), (3.14),
(3.16) 式を連立すると, 以下のような行列式の形式で書く
ことができる.
![]() |
|||
![]() |
(3.14) |
![]() |
|||
![]() |
|||
![]() |
|||
![]() |
|||
![]() |
|||
![]() |
|||
![]() |
|||
![]() |
|||
![]() |
|||
![]() |
![]() |
![]() |
|||
![]() |
運動方程式の音波に関連しない項 (3.1), (3.2) 式を
離散化する.
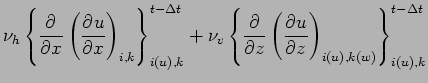
![]() |
(3.17) | ||
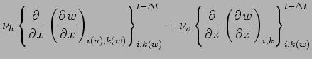
![]() |
(3.18) |
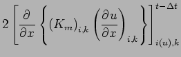
![]() |
|||
![]() |
|||
![]() |
(3.19) |
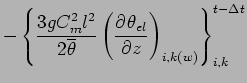
![]() |
|||
![]() |
|||
![]() |
(3.20) | ||
![]() |
|||
![]() |
|||
![]() |
(3.21) |
![]() |
(3.22) | ||
![]() |
(3.23) |
![]() |
(3.24) | ||
![]() |
(3.25) |
熱の式と混合比の保存式の右辺をまとめて
で表し,
時間方向にリープフロッグ法を用いて離散化する.
,
,
,
をまとめて
で表し,
それぞれの項を書き下す. 移流項は,
![]() |
(3.35) |
![]() |
(3.36) |
![]() |
|||
![]() |
(3.37) |
![]() |
![]() |
(3.38) |
![]() |
(3.39) |
凝縮加熱項
は
![]() |
(3.40) |
散逸加熱項
は
![]() |
(3.41) |
放射強制
は計算設定ごとに与える.
雲水から雨水への変換を表す
,
は以下のようになる.
| (3.42) | |||
![]() |
(3.43) |
| (3.44) |
![]() |
(3.45) | ||
| (3.46) |
Klemp and Wilhelmson (1983), CReSS ユーザーマニュアル(坪木と榊原, 2001)
では, 水蒸気と雲水の間の変換を表す
は,
Soong and Ogura (1973) において開発された
湿潤飽和調節法を用いる.
この方法は
の断熱線と,
の
平衡条件(
は化学ポテンシャル)の交わる温度・圧力・組成を
反復的に求める数値解法である.
以下ではそのやり方を解説する.
湿潤飽和調節法を用いる場合,
まず始めに (3.30) - (3.37)
式から求まる量に
を添付し,
,
,
,
とする.
水に対する過飽和混合比
| (3.47) |
もしも
の場合には,
硫化アンモニウムの生成反応
| (3.54) |
硫化アンモニウムの生成反応の圧平衡定数は,
![]() |
(3.55) |
任意の温度
における NH
SH の生成量を
とすると,
圧平衡定数の式は以下のように書ける.
| (3.56) |
| (3.58) |
![]() |
(3.59) |
が (3.63) 式の条件を満たすならば,
次式を用いて暫定的に
,
,
を求める.
| (3.61) | |||
| (3.62) | |||
| (3.63) | |||
| (3.64) |
Klemp and Wilhelmson (1978) および CReSS (坪木と榊原篤志, 2001) と同様
に, 1.5 次のクロージャーを用いる. 乱流エネルギーの時間発展方程式
をリープフロッグ法を用いて時間方向に離散化すると, 以下のようになる.
| (3.65) |
| (3.66) |
に含まれる各項は以下のように書き下すことができる.
| (3.72) | |||
![]() |
(3.73) |
![]() |
(3.74) |
リープフロッグ法を用いたことによって生じる計算モードの増幅を抑制するた
め, Asselin (1972) の時間フィルターを長い時間刻みで 1 ステップ計算する
毎に(実際には短い時間刻みの計算を
ステップ計算する毎に)適用する.
たとえば(3.6)を用いて
を計算する場合, 以下のように時間フィルターを適用する.
ここで
はフィルターの係数であり, その値は 0.05 を用い
る. (3.7), (3.8)の計算に対しても同様
に時間フィルターを適用する.
境界面付近での波の反射を抑えるために, 基礎方程式の付加的な項を付け加える.
![]() |
(3.76) |
| (3.77) | |||
| (3.78) | |||
| (3.79) | |||
| (3.80) |
はそれぞれ水平方向には各境界面に向かって, 鉛直
方向には上境界面に向かって小さくなる減衰係数である. これらの減衰係数は,
水平方向には吸収層の厚みを
とし,
の範囲を
とすれば,
![]() |
|||
![]() |
(3.81) |
![]() |
(3.82) |